·¡Ý£´
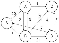
³Æ¥Î¡¼¥É´Ö¤Î°Üư¥³¥¹¥È¤¬ÈóÉé¤Ç¤¢¤ë¾ì¹ç¤ÎºÇû·Ðϩõº÷¤ò¹Ô¤¦ºÝ¡¢Dijkstra ¤Î¥¢¥ë¥´¥ê¥º¥à¤¬¤è¤¯ÍѤ¤¤é¤ì¤ë¡£Dijkstra ¤Î¥¢¥ë¥´¥ê¥º¥à¤òÍѤ¤¤Æ²¼¿Þ¤Î»ÏÅÀ¥Î¡¼¥É£Ó¤«¤é¾¤Î¥Î¡¼¥É¤Ø¤ÎºÇû·ÐÏ©¡¦¥³¥¹¥È¤òµá¤á¤ëºÝ¤Ë¡¢£Ó¤«¤é¤ÎºÇû·ÐÏ©¤¬·èÄꤷ¤Æ¤¤¤¯¥Î¡¼¥É¤Î½ç½ø¤È¤·¤Æ¡¢ºÇ¤âŬÀڤʤâ¤Î¤Ï¤É¤ì¤«¡£

¡¡¡£Ó¡¡£Á¡¡£Â¡¡£Ã¡¡£Ä¡¡
¢¡¡£Ó¡¡£Á¡¡£Ã¡¡£Â¡¡£Ä
£¡¡£Ó¡¡£Â¡¡£Á¡¡£Ä¡¡£Ã
¤¡¡£Ó¡¡£Â¡¡£Ä¡¡£Á¡¡£Ã
¥¡¡£Ó¡¡£Â¡¡£Ã¡¡£Á¡¡£Ä


